1.如图所示,重量为100N圆球放在倾角为30°的斜面上,并被竖直挡板MN挡住,则斜面、挡板对小球作用力的大小各是多少?(各处摩擦不计)

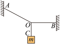
2.如图所示,一个质量m=10kg的重物被悬挂在空中,已知BO处于水平位置,∠AOB=150°,则AO、BO绳上的拉力是多少?

1.如图所示,重量为100N圆球放在倾角为30°的斜面上,并被竖直挡板MN挡住,则斜面、挡板对小球作用力的大小各是多少?(各处摩擦不计)

2.如图所示,一个质量m=10kg的重物被悬挂在空中,已知BO处于水平位置,∠AOB=150°,则AO、BO绳上的拉力是多少?
